Terra White Paper Summary and Thoughts
A lot of talk has been on about the robustness the Terra stablecoins and the sustainability of the seigniorage design. To put the hearsay to rest I went back to the beginning - the Terra whitepaper.
The Terra Whitepaper published by Terraform labs in late 2019 starts with an introduction to the monetary and fiscal policy frameworks that influence the creation of the Terra stablecoin ecosystem. The monetary policy basis of the terra project is to create an elastic money supply which contracts and expands through a decentralized arbitrage mechanism to maintain the UST peg. This is where the need for a complementary token to absorb the UST market volatility and act as a medium for arbitrage arises. That complementary token, as originally envisaged, is Luna [which may soon be assisted by Bitcoin, Avax, and potentially many others in some capacity or the other].
The Arbitrage Design
Before going further, let us establish some basic nomenclature:
Burn: A token is burnt when it is destroyed and removed from total supply. Think how burning a $1 bill removes it from the money supply.
Mint: A token is minted when it is added to total supply. Think how in Money Heist they mint or create money at the central reserve from nothing.
As mentioned above, the peg is maintained through an arbitrage mechanism that incentivizes traders and market participants to pull the value of 1 UST towards $1. Central to this mechanism is Terra’s design to act as a counterparty to anyone looking to exchange UST for Luna (or vice versa) at the $1 peg on TerraStation. In practice, it looks like this:
When 1 UST < $1: Users can send 1 UST to TerraStation and receive $1 of Luna in return. Eg, if 1 UST is trading at $0.99, then any user can buy 1 UST from the open market (eg Binance) at $0.99 and sell it for $1 of Luna at TerraStation, making $0.01 profit.
This process of repeatedly depositing or ‘burning’ UST at TerraStation would reduce market supply of UST, putting upward pressure on the price till it reaches equilibrium at $1.
When 1 UST > $1: Users can send 1$ worth of Luna to Terra Station and receive 1 UST in return. Eg, if 1 UST is trading at $1.01, then any user can buy $1 of Luna from the open market, and swap it for 1 UST at Terra Station. They can then sell the 1 UST in the open market (eg Binance) for $1.01, making an instant $0.01 profit.
This process of repeatedly withdrawing or ‘minting’ UST at TerraStation would increase market supply of UST, putting downward pressure on the price till it reaches equilibrium at $1.
The Stablecoin Architecture
To start, there is a genesis supply of 1 billion Luna tokens which serves as the upper cap on the total number tokens there can be [Note, a large number of these are staked by validators to maintain network security and so not all tokens are fully available for trade]. Now, the protocol acts as a price maker for Terra through Luna as follows:
For a user to mint 1 UST they must deposit $1 worth of Luna with the protocol.
Thus as UST market adoption increases, more and more Luna is deposited with the protocol, reducing total market supply and increasing Luna price. To find out what happens to the deposited Luna, skip ahead to the section of Seigniorage.
When a user deposits 1 UST, the protocol mints and pays $1 of Luna.
This is a part of the dynamic or elastic money supply property of Luna. During a contraction of UST, the volatility is transferred from UST to Luna maintaining the peg at $1. Depending on the scale of the contraction this would however cause the price of Luna to crash. Recessions are not fun!
In the worst case this could lead to a Luna death spiral, as shown in this illustration by Josê Maria Macedo of Delphi Labs (@ZeMariaMacedo):
This is where the Terra treasury, funded through Seigniorage comes into play.
Seigniorage - The Goose laying the Golden Eggs
For those with a more financial bent of mind, Terra’s seigniorage design is perhaps the most interesting aspect of this protocol. At once, it represents a system to consolidate mind melting amounts of capital while also encapsulating hardcoded algorithmic discipline that would be critical to ensure the Terra ecosystem’s longevity.
As covered above, when demand for UST increases the protocol mints new UST and earns Luna in return. Plainly, if I want 1 UST I would deposit $1 worth of Luna on TerraStation, where the protocol would mint 1 fresh UST for me in return. Since the cost of minting 1 UST is virtually zero, the Terra protocol earns $1 worth of Luna as seigniorage for its function as the Mint.
In the free market, there is no free lunch. - Textbook Economic Horror Fantasy from the Medieval Ages
The current M1 money supply in the US is around $20 Trillion; if UST were to ever become any meaningful fraction of that would mean a lot of seigniorage.
But alas that’s not how the market forces work. To accrue value back to the miners and Luna holders there is an encoded burn mechanism in the seigniorage process. Thus of the $1 of Luna earned by the protocol in the above example, a certain proportion is burned to reduce market supply of Luna to support a price increase. As of the introduction of Columbus Mainnet - 5 in June 2021, all the seigniorage is burnt. This reduction of Luna supply during the good times creates a monetary policy buffer to support an expansion of Luna supply to absorb the selling pressure on UST during the bad times.
Moving forward, not all of the seigniorage may be burnt as some would be used to purchase Bitcoin and other cryptoassets to create a reserve fund that aims to release some of the pressure from Luna during periods of contraction and make the ecosystem more robust. More on this and Luna Foundation Guard (LFG!) in the next piece.
Network Security and Miner Rewards
Note: The whitepaper uses the term ‘miner’ for those staking Luna to preserve network security and so to preserve intent I continue with that terminology. A more contemporary name for those executing the staking function is ‘validator’.
Terra runs on a Proof of Stake (PoS) blockchain so miners need to stake Luna to mine terra transactions. Thus Luna represents mining power on the Terra network. Amongst the pool, a miner’s odds of selection for block production depends on the weight of the miner’s stake relative to all other miners. So if I account for 20% of the Luna staked by all the miners, my odds of selection as a block producer are 1 in 5. The miners are rewarded in two ways:
Transaction fees: All transaction on Terra pay a small fee to miners. This is set to 0.1% by default and is capped at 1% [in comparison, Visa charges upwards of 2.5% in transaction fees].
Seigniorage: Burning Luna earned through seigniorage makes Luna scarce, and thus staked Luna more valuable both in monetary terms and as a source of mining power [i.e if there is fewer total Luna to stake, then a miner’s stake comes to represent greater proportion of the total mining power on the Terra network].
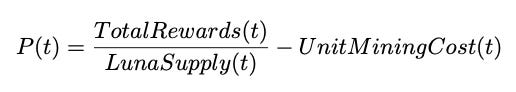
Thus the rewards per unit of Luna staked look like this:
Holding unit mining costs as exogenous, to keep miner rewards stable and increasing over the long term the Protocol uses the two reward mechanisms in opposing ways. Thus if unit mining rewards are increasing too much, the protocol would :
Decrease total rewards by decreasing transaction fees; and/or,
Increase Luna Supply by decreasing seigniorage burn rate.
The inverse of the above is used if mining rewards are decreasing. In the whitepaper the Terra Protocol team simulated a 93% drawdown in the terra economy with a 6 year recovery period, and found this mechanism to support stable and increasing miner rewards even during this duration of extreme pressure.
Closing Thoughts
As an economist and an investor, Terra elicits a lot of emotions - wonder, awe, and skepticism. The concept of the Algorithmic Stablecoin is no doubt theoretically very interesting, and as the performance of UST and Luna over the past 2 years has shown, practically executable. The only credible skepticism comes from the possibility of a correlation 1 event, of the type that happens all too frequently in crypto and not very infrequently in the equity markets, that causes Luna to descend into the death spiral so neatly illustrated by ZeMariaMecado above. This is where the creation of the BTC reserve fund becomes interesting; by no means would this be a panacea, like any other asset (especially cryptoasset) Bitcoin too would also suffer during a correlation 1 shock. I would explore the BTC reserve fund and its robustness in the next piece.









